- 放大
- 缩小
- 默认
舟山诗话
中有斯人行独贤
《番薯吟》,一首舟山寒士的深情赞歌
刘辉 字数:
《 舟山晚报 》( 2026年03月07日 第 05 版 )

扬州阮元家庙

《雕菰楼集》书影

《定香亭笔谈》书影
质朴无华的乐府笔法
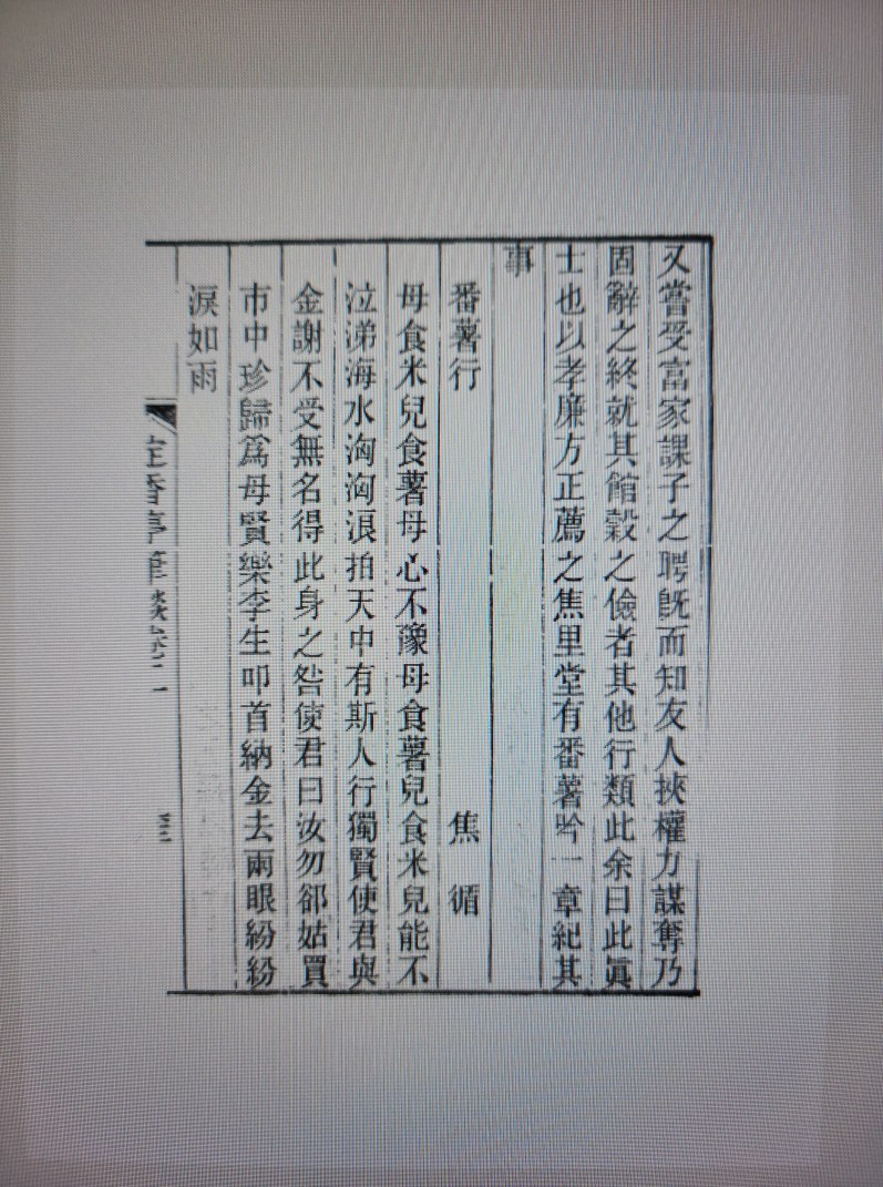
在清代诗坛,焦循所作乐府体《番薯吟》,以质朴深挚的笔调,吟咏了一位定海寒士的事迹,其诗全文如下:
母食米,儿食薯,
母心不豫。
母食薯,儿食米,
儿能不泣涕?
海水汹汹浪拍天,
中有斯人行独贤。
使君与金谢不受,
无名得此身之咎。
使君曰:女勿却。
姑买市中珍,
归为贤母乐。
李生叩首纳金去,
两眼纷纷泪如雨。
此诗前有小序,道出本末:“定海诸生李巽占,家赤贫,谨于事母,授徒数里外,每食必归,食已复至。主人怪之,诘以故。久之乃曰:家贫,母食番薯,何忍独饭也?学使访得实,表之,又给以金,始却不肯受。语以归养母,乃感泣再拜持去。”这首乐府诗,语言质朴而情感浓烈。
开篇“母食米,儿食薯,母心不豫。母食薯,儿食米,儿能不泣涕?”通过“米”与“薯”在母子间的推让,形成往复咏叹,将贫家母子相依为命、互让食物的辛酸与深情刻画得淋漓尽致。儿子因母亲吃差食而心不安,母亲见儿子受苦而心不忍,寻常饮食间,孝慈之心跃然纸上。
“海水汹汹浪拍天,中有斯人行独贤”一句,诗意陡然升华。诗人以舟山常见的汹涌海涛为背景,喻指世道艰难、生计困苦。然而,在这茫茫人海与生活洪流中,却挺立着李巽占这样一位“独贤”之士。其品行如中流砥柱,卓然不群,与翻腾的海浪形成鲜明对比,凸显其人格的高洁与坚毅。
“使君与金谢不受,无名得此身之咎”二句,笔锋一转,触及李巽占内心的另一层波澜。学使赠金表彰,本为美意,李生却因“无名受赠,恐为身咎”而推却,这展现了传统士人“临财不苟”的狷介与对“清白”名声的珍视,其风骨由此可见一斑。“使君曰:女勿却。姑买市中珍,归为贤母乐。”女即汝。学使的劝导恳切而富有人情味,指明赠金乃为奉养贤母,非为私惠,既化解了李生的心结,也彰显了上位者的仁厚与智慧。
结尾“李生叩首纳金去,两眼纷纷泪如雨。”一个“叩首”,一个“泪如雨”,将李巽占当时的感激、愧疚、释然与孝心得以稍安的复杂情绪全然托出,画面感人至深。
全诗叙事情感真挚,层层递进,在白描中见深情,于平实中显厚重,堪称乐府佳作。
孝廉方正的人生底色
这位被焦循赞为“行独贤”的定海士子李巽占,字申三,号絜斋,甬东人。其事迹不仅载于焦循诗笔,亦见录于清代名臣阮元的《定香亭笔谈》,更见于民国版《定海县志·人物志》。清时甬东岙属于富都乡,跟如今甬东村位置大致不差。民国版县志中载他是甬东人,可以明确李巽占就是定海城东人。
阮元时任浙江学政,于案牍之余,留心地方贤士。他记李巽占“尝授徒于某姓,不食其晚餐。盖家甚贫,归侍其母,同食番薯,不忍在馆独御稻肉也。”更可贵的是,阮元还记其另一桩往事:“又尝受富家课子之聘,既而知友人挟权力谋夺,乃固辞之,终就其馆谷之俭者。”因不愿与友人相争,而甘守清贫,此等廉让之德,令阮元不禁赞叹“此真士也”,并以其“孝廉方正”科荐于朝廷。
阮元不记自己赠银事。大概在他看来,赠银不值一提。这个举孝廉方正,可比几两银子值钱多了。相当于乡试中举,也就是俗称的举人加强版,属于道德模范直接转官员待遇。首先是享受举人同等经济待遇:免徭役、免二百亩地税。超普通举人的待遇是直接给六品顶戴。如遇实授,直接给七品知县职。同样大挑时,先挑孝廉再挑举人。
嘉庆元年,浙江全省举孝廉者共十二人,李巽占其一。《定海县志》将其列入“至性独行者”列传,其“至性”在于孝,“独行”在于廉,桑梓之光,实至名归。
焦循诗学思想的生动实践
为李巽占作歌的焦循(1763—1820),字理堂,晚号里堂老人,江苏甘泉人,是乾嘉时期扬州学派的代表人物。他博学多才,于经、史、历算、音韵皆有深研,尤精于《易》学。其学术总汇于《雕菰楼集》,一生著述宏富。焦循性情洒然,不慕荣利,中年后筑“雕菰楼”隐居,以著述自娱。其诗学思想颇具卓见,在《毛诗补疏》序中,他强调“温柔敦厚”的本质在于“性情”,是情感的自然流露与内心的真诚正直,反对将其视为外在的、僵化的道德规训。他的《番薯吟》正是这一诗学主张的生动实践,以真挚的性情书写民间的苦难与高尚,让诗歌回归其感发人心的本源。
而最初将李巽占事迹从乡野带入文坛视野的,是阮元(1764—1849)。阮元,字伯元,号云台,江苏仪征人,官至体仁阁大学士。他不仅是位高权重的显宦,更是乾嘉学术的殿军与有力的组织者,主持编纂了《经籍籑诂》、《十三经注疏校勘记》等大型文献,影响深远。其《定香亭笔谈》是他督学浙江期间所作的笔记,内容博杂,多记浙地风物、金石书画及所闻见的贤士轶事,文笔简净,颇具史料价值。他以学政身份表彰李巽占,是其“观风”职责的体现,旨在激扬美俗,树立典范。
定香亭,杭州学使署西园荷池中亭,旧无名,阮元以陆游诗“风定池莲自在香”命名之。此事相见古人之风雅,契合本专栏精神,故荡开一笔以记之。
一首《番薯吟》,串联起一位舟山寒士的孝廉、一位在野通儒的诗心与一位当朝宗臣的史笔。李巽占以其“至性独行”,成为阮元笔下可荐于朝的“真士”,也成为焦循诗中可与“汹汹浪拍天”相抗衡的“独贤”。
史家的实录、诗人的咏叹与方志的记载,共同完成了对一种朴素而高贵品格的塑造与传扬。这段佳话,不仅为舟山地方人文增添了厚重的一笔,也让后世读者在“海水汹汹”的世相中,得以仰望那“行独贤”的精神风标。
本版照片由作者提供
本版与市政协文化文史和学习委合办第1303期
来稿请发zswb03@zsnews.com