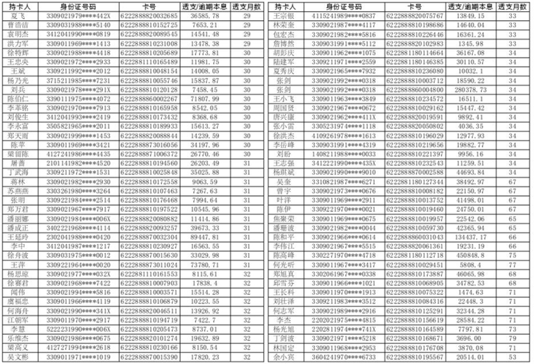
定海海洋农商银行逾期信用卡/贷款催讨公告

字数

《 舟山晚报 》( 2025年06月21日 第 07 版 )

  请以下借款人、持卡人、保证人于2025年6月30日前到定海海洋农商银行任一网点或其他途径还款,特此催告!如果以下借款人、持卡人、保证人经公告催讨后仍不归还透支本息,我行将保留进一步采取措施的权利,具体名单如下:

  注:透支本息截止时间2025年6月3日,本公告刊登于2025年6月21日《舟山晚报》第七版